Sito Visitato 510858 volte Pagina Visitata 3586 volte Sei in : Etantonio/IT/Universita/4anno/Optoelettronica/     

Esperienze di laboratorio con le fibre ottiche

Introduzione alle fibre ottiche

·      Dispersione

·      Attenuazione

·      Preparazione della fibra

·      Introduzione al banco ottico

Misure di potenza in fibra multimodale

·      Specifiche del banco ottico

·      Risultati della esperimento

Misure di apertura numerica in fibra multimodale

·      Apertura numerica di una fibra ottica

·      Caratteristiche della fibra

·      Svolgimento delle misure

·      Risultati della esperimento

·      Interpretazione dei dati e conclusioni finali

Misura dello spettro di emissione di un laser He-Ne

·      Descrizione della sorgente

·      Descrizione della Optical Spectrum Analyzer

·    OSA con monocromatore a singolo passaggio

·    OSA con doppio monocromatore

·    OSA con monocromatore a doppio passaggio

·      Applicazioni tipiche della analizzatore di spettro ottico

·    Stymulus response testing

·    Swept polarization dependent loss testing

·      Descrizione della esperimento

Introduzione alle fibre ottiche

Le fibre ottiche sono guide d´onda circolari che possono trasportare energia ottica e quindi informazione.

Si suddividono essenzialmente in due categorie, fibre plastiche e fibre di vetro, le quali vengono utilizzate per collegamenti a grande distanza e sono usualmente realizzate in silice con la aggiunta di un drogante (come GeO2) per ottenere il profilo d´indice di rifrazione voluto.

La struttura tipica di una fibra in silice è quella riportata in figura dove si possono vedere il nucleo, un strato più esterno che è il mantello ed infine uno strato protettivo che avvolge l´intera fibra.

  • Il nucleo (core), è la regione della fibra nella quale vengono confinati i modi guidati, ovvero i modi che si propagano (avanti nel testo vengono analizzati in dettaglio), ha un indice di rifrazione maggiore della indice del mantello.
  • Il mantello (cladding), è la regione che ha lo scopo di confinare i modi nel nucleo (nella approssimazione di ottica geometrica si comporta da specchio), grazie al minore indice di rifrazione.
  • Lo strato protettivo (coating), è come il nome stesso suggerisce  un film protettivo che essenzialmente ha lo scopo di evitare microcurvature causate dall´interazione tra più fibre allorquando esse vengano inserite all´interno di un cavo multi-fibra.

La potenza che viene lanciata in fibra si ridistribuisce, se la dimensione del core è tale da consentirlo, su più modi (come risulta dalla soluzione delle equazioni di Maxwell imponendo le condizioni al contorno che soddisfano la geometria della fibra).

I modi sui quali si ridistribuisce l´energia si classificano in due sottogruppi, i modi evanescenti ed i modi guidati, i primi sono quelli che trasportano energia fuori dal nucleo e che proprio per questo si attenuano rapidamente mentre i modi guidati sono quei modi che si propagano all´interno del nucleo e che se non fosse per fenomeni di attenuazione intrinseci al materiale non si attenuerebbero neanche a grande distanza.

Dispersione

Oltre che dalla attenuazione dei modi guidati, una fibra ottica, come qualsiasi sistema per telecomunicazioni è caratterizzato anche dalla larghezza di banda.

La larghezza di banda in una fibra è limitata sostanzialmente da fenomeni di dispersione:

dispersione intermodale (ogni modo che si propaga è caratterizzato dalla propria velocità di propagazione), dispersione intramodale (o dispersione del materiale che è dovuta al fatto che ogni lunghezza d´onda ha una propria velocità di propagazione) ed un altro tipo di dispersione (PMD), dovuto alla variazione della indice di rifrazione in conseguenza degli stress meccanici a cui la fibra necessariamente è soggetta.

Attenuazione

La potenza ottica in una fibra decade esponenzialmente, causa la assorbimento e lo scattering della luce.                     

L´assorbimento che è prodotto dalla polarizzazione del materiale, domina a bassa frequenza, ovvero nell´infrarosso mentre lo scattering di Rayleigh, che è dovuto alla natura corpuscolare del materiale domina ad alta frequenza. Vi sono poi anche altri fenomeni che vanno a caratterizzare la attenuazione, il più importante tra questi è senza dubbio la presenza di impurezze all´interno della silice quali ad esempio (e senza dubbio il più dannoso), la acqua nella forma di ione ossidrile.

Preparazione della fibra

Per poter rendere una fibra utilizzabile, la prima operazione da compiere è quella di rimuovere lo strato protettivo che la avvolge.

Tale operazione deve essere effettuata con cura, poiché è la principale causa di fallimenti quando si lavora con le fibre ottiche. Vi sono due tecniche che consentono la rimozione di tale strato, la prima (quella che abbiamo utilizzato in laboratorio), consiste nell´utilizzare un´apposita pinza per la rimozione del coating, ed una seconda tecnica (più sicura), che prevede l´utilizzo di un solvente chimico.

La successiva operazione da compiere è quella che va sotto il nome di clivaggio.

Lo scopo del clivaggio è quello di cercare per quanto possibile di tagliare la fibra in modo che la superficie di taglio sia il più possibile piana ed in asse con la fibra stessa. La tecnica, a dire il vero un pò rudimentale, da noi utilizzata per ottemperare a tale proposito consiste di due fasi distinte: in un primo momento si incide con una sorta di coltello molto tagliente la superficie della fibra e successivamente si esercita una tensione sulla fibra imprimendogli anche una lieve curvatura per facilitarne la rottura.


Introduzione al banco ottico

Il banco ottico utilizzato è schematizzato nella seguente figura :

in essa si possono individuare:

  • La sorgente ottica: il Laser He-Ne, Fabry Perot a 633nm.
  • L´ accoppiatore caratterizzato da quattro regolazioni che permettono di allineare il fascio del laser con la fibra ottica; sia per quanto riguarda la allineamento dello spot sulla testa della fibra, che la allineamento del fascio con la normale al piano di taglio della stessa.

 

 

Dispone inoltre di una lente che consente di collimare il fascio incidente.

  • Lo scrambler che consiste in una sorta di morsa a denti di sega, che costringendo la fibra ad incurvarsi in modo anomalo, permette ai modi evanescenti di fuoriuscire anzitempo, simulando il comportamento della fibra a grande distanza, dove permangono soltanto i modi che si propagano.
  • Il rotolo di fibra lungo 500 metri.
  • Il focalizzatore che consiste in un dispositivo simile alla accoppiatore anche se più semplice di quest´ultimo in quanto ha soltanto la possibilità di traslare la fibra per allinearla con il fotorivelatore.
  • Il fotodiodo.
  • Il Wattmetro.

Misure di potenza in fibra multimodale

Specifiche del banco ottico

Prima di descrivere le misure effettuate in laboratorio è necessario elencare le caratteristiche principali del banco ottico utilizzato (perlomeno quelle che interessano le misure di potenza), nonché occorre calcolare con i modelli teorici studiati i valori che ci si deve aspettare da tali misure, affinché queste abbiano un senso.

La sorgente ottica utilizzata è un LASER Fabry-Perot che emette a 633nm una potenza nominale di 1mW mentre la fibra ottica utilizzata è una fibra multimodale la cui attenuazione dichiarata dal produttore è di 4dB/Km a 850nm e di 1.5dB/Km a 1300nm.

Supponendo di avere a 850nm esclusivamente attenuazione causata dallo scattering, allora conoscendo la andamento della attenuazione alla Rayleigh è possibile determinare quanto attenua la fibra in questione a 633nm che è la lunghezza d´onda che ci interessa.

L´attenuazione per scattering di Rayleigh ha la andamento tipico dato dalla relazione, che calcolata per =850nm ci permette di determinare k; determinato k, possiamo ottenere il valore della attenuazione per =633nm, per la quale si ottiene un´attenuazione di 13dB/Km. È da tenere in considerazione che tale valore approssima per eccesso il valore reale della attenuazione a 633nm poiché, a tale lunghezza d´onda possiamo considerare che la causa principale di attenuazione sia proprio lo scattering mentre a 850nm occorre sommare allo scattering anche altri fenomeni quali la presenza della ossidrile; questo fa si che il coefficiente k sia maggiore del valore che si dovrebbe avere per il solo scattering.

Risultati della esperimento

 

 

 

Dalle Tabelle 1 e 4 possiamo ricavarci la attenuazione dovuta alla accoppiamento tra il LASER e la fibra essendo la attenuazione introdotta da 2.25m di fibra trascurabile; eseguendo i conti si ottiene che la potenza persa è di circa 3.44dB per il caso del fotorivelatore schermato e di 3.24dB per il caso di fotorivelatore non schermato.

Dalle Tabelle 1 e 2 si può invece ricavare la Tabella 3 ovvero si può ricavare quanto attenuano 500 metri di fibra; i valori si ottengono per semplice sottrazione degli SNR essendo questi ultimi riferiti allo stesso livello di rumore. Fatti i conti si ottiene che nel caso peggiore la fibra attenua 5.1 dB contro i 6dB.


Misure di apertura numerica in fibra multimodale

Apertura numerica di una fibra ottica

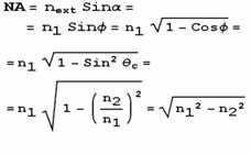
Definiamo apertura numerica di una fibra ottica il seno del suo angolo di accettazione moltiplicato per l´indice di rifrazione del mezzo esterno (solitamente in aria è n~1). È dunque possibile ricavare in maniera piuttosto semplice NA per una fibra ottica tipo step index in dipendenza esclusivamente degli indici di rifrazione di nucleo e mantello:

         

che come possiamo osservare dipende solamente dalle proprietà dei materiali costituenti la fibra, non da quelle del mezzo esterno. Qui di seguito ci proponiamo di misurare la apertura numerica di una fibra misurando la ampiezza del cono di luce emesso da una fibra multimodale alimentata da un laser HeNe funzionante ad una lunghezza d´onda di 633 nm.

Caratteristiche della fibra

            Si è utilizzata per l´esperimento una fibra multimodale Graded Index prodotta dalla Newport Corp., la FMD-500, la lunghezza del tratto di fibra utilizzato è 2.25 m. Da una prima osservazione si scopre una prevedibile granulosità del fascio luminoso, attribuibile all´elevato numero di modi che si propaga in fibra: difatti alle frequenze di interesse (si fa qui uso della NA nominale 0.3)

Dunque nella fibra si propagano più di 11000 modi che generano figure via via più complesse man a mano che aumenta l´ordine. A titolo di esempio si osservino le figure dei primi modi LP.

                    

                                                                             

Modo LP 01                             Modo LP 11                   LP 02                    LP 21

Inoltre non tutti i modi sono stabili: i modi instabili danno luogo a figure di grande complessità che come è stato possibile osservare variano nel tempo in conseguenza di ogni piccola perturbazione su qualunque punto della fibra. È possibile ridurre il numero di questi modi con un´azione di scrambling, ma non eliminarli del tutto.

Svolgimento delle misure

Dopo esserci sincerati della assenza di fenomeni diffrattivi, grazie all´elevata direttività della bocca della fibra in conseguenza del fatto che l <<a, possiamo passare allo svolgimento della misura del diametro del cono di luce emesso della fibra, a distanze prefissate dalla fibra ottica.

Tuttavia ci sono diverse difficoltà nel rilevare questa lunghezza: in primo luogo l´eccessiva granulosità della figura che può trarre in inganno l´occhio umano, poi il fatto di non poter discriminare esattamente dove finisce la figura luminosa sullo schermo: vedremo infatti che molto in questo caso conta la sensibilità di chi effettua la misura; le stesse misurazioni effettuate da persone differenti hanno portato a risultati abbastanza diversi.

 Qui di seguito vediamo un tipico grafico che ci illustra la variazione di potenza al variare della angolo; in che punto l´occhio deciderà che cade il bordo di illuminazione? In mancanza di una strumentazione più sofisticata dobbiamo dunque compiere una misurazione fortemente approssimativa.

Risultati della esperimento

Le misurazioni della lunghezza prefissata L della fibra dallo schermo e del diametro W del cono di luce sullo schermo, effettuate da due persone diverse nelle medesime condizioni sperimentali hanno dato i seguenti risultati.

Distanza [cm]

Misurazione A [cm]

Misurazione B [cm]

7.5

4

4.8

15

7.7

10

30

16.1

16.8

53

26.6

27.1

Da queste misurazioni si può facilmente calcolare la apertura numerica, difatti:

I nostri calcoli di seguito sviluppati faranno uso sempre della formula esatta.

Interpretazione dei dati e conclusioni finali

Nel seguito riportiamo alcuni tentativi di interpretare i dati numerici ricavati per dare una stima quanto più attendibile della reale apertura numerica della fibra ottica, che il costruttore dichiara essere circa 0.3 .

Un primo metodo per stimare NA consiste nella pura e semplice media aritmetica dei risultati ottenuti, cioè


Considerando poi che le misure si fanno più imprecise alla aumentare della distanza abbiamo deciso di pesare i vari termini con l´inverso della distanza ottenendo una media del tipo


Infine può essere anche possibile una media che pesi i vari contributi con l´inverso del quadrato della distanza (non è così che d´altronde decresce la potenza?):

I risultati così ottenuti sono raccolti nella seguente tabella, affiancati dai relativi scarti quadratici medi.

 

L [cm]

W [cm]

NA

Varianza

Tabella a

7,5

4

0,257663

 

15

7,7

0,248608

 

30

16,1

0,259165

 

53

26,6

0,243397

 

Media 1a

   

0,252208

5,62505E-05

Media 2a

   

0,254401

4,69942E-05

Media 3a

   

0,25582

5,52329E-05

Tabella b

7,5

4,8

0,304776

 

15

10

0,316228

 

30

16,8

0,26963

 

53

27,1

0,247694

 

Media 1b

   

0,284582

0,000997853

Media 2b

   

0,298887

0,000953038

Media 3b

   

0,304418

0,001141867

MEDIA 1

   

0,268395

0,0007512

MEDIA 2

   

0,276644

0,001736877

MEDIA 3

   

0,280119

0,001912014

 Misura dello spettro di emissione di un laser He-Ne

Descrizione della sorgente

Scopo di questa parte della esperienza era caratterizzare la sorgente utilizzata per  la misura della apertura numerica della fibra ottica e della attenuazione della stessa, si trattava nella fattispecie di un Laser He-Ne il cui principio di funzionamento è brevemente riportato in figura :

in esso il pompaggio porta gli atomi di He dal livello 11S al livello metastabile 21S che è in risonanza con il livello 3s del Ne che pertanto viene facilmente popolato. La transizione laser principale avviene dal livello 3s al livello 3p tuttavia per far risaltare la transizione visibile, dal livello 3s al livello 2p generante fotoni con lunghezza d´onda l = 632,8 nm  , si utilizzano degli specchi trasmissivi a questa lunghezza d´onda.

Descrizione della Optical Spectrum Analyzer

Lo strumento che consente di analizzare lo spettro di emissione di un laser come pure di effettuare molteplici misure sui dispositivi optoelettronici è la analizzatore di spettro ottico (OSA) il cui generico schema a blocchi è illustrato in figura :

in esso la luce da analizzare viene fatta passare per un monocromatore, un dispositivo che agendo sulla angolazione di un reticolo di diffrazione consente di inviare al fotorivelatore soltanto una piccola frazione dello spettro che si intende analizzare, a tale frazione il fotorivelatore a larga banda fa corrispondere una corrente che viene trasformata in tensione tramite un amplificatore di transimpedenza e visualizzata su di un display digitale, la logica provvede poi a ruotare il monocromatore in modo che tutto lo spettro richiesto venga scandito.

Per misure particolari viste nel seguito, l´OSA consente di prelevare dall´esterno l´uscita del monocromatore e di inviare direttamente un segnale al fotorivelatore, è poi disponibile un generatore di corrente interno utilizzabile per la polarizzazione dei laser o dei LED.

Nel seguito saranno descritti 3 diverse architetture di OSA che si distinguono tra di loro per la diversa implementazione del monocromatore

a)      OSA con monocromatore a singolo passaggio

b)     OSA con doppio monocromatore

c)      OSA con monocromatore a doppio passaggio

OSA con monocromatore a singolo passaggio

Il monocromatore a singolo passaggio è descritto dal seguente schema a blocchi :

la luce emessa dalla fibra ottica viene collimata dalla 1ª lente ed inviata su di un reticolo di diffrazione a riflessione costituito da uno specchio metallico finemente rigato, esso si comporta come un prisma in quanto invia al 2° specchio concavo soltanto una piccola parte dello spettro della luce proveniente dalla fibra, ruotando il reticolo viene inviata allo specchio una diversa frazione di spettro consentendo in tal modo la scansione completa. Dallo specchio la luce viene focalizzata su di una apertura costituita da una stretta fessura le cui dimensioni variabili contribuiscono a determinare la risoluzione dello strumento in quanto la luce che passa attraverso essa giunge poi al fotorivelatore.

Si tratta di uno strumento relativamente semplice che però può essere utilizzato soltanto per caratterizzare sorgenti quali i laser Fabry-Perot oppure i LED mentre per i laser DFB e DBR i quali sono altamente coerenti occorre utilizzare una delle altre due architetture di OSA.

OSA con doppio monocromatore

La luce proveniente dalla apertura del monocromatore viene portata da un´ottica o da una fibra in ingresso ad un secondo monocromatore ottenendo pertanto un secondo filtraggio che migliora la selettività del sistema ma incide pesantemente sui costi, le dimensioni e la sensibilità del sistema che inoltre diviene abbastanza critico per via della necessità di allineare e sincronizzare la rotazione dei due monocromatori.

OSA con monocromatore a doppio passaggio

È una architettura nella quale il miglioramento della selettività del sistema viene ottenuta utilizzando due volte lo stesso reticolo di diffrazione,

nella fattispecie si ha che la luce (1) proveniente dalla fibra d´ingresso viene collimata sul reticolo di diffrazione il quale la diffrae secondo il percorso (2)  , due specchi provvedono ad invertirne il verso ed una piastrina a mezz´onda ruota di 90° la polarizzazione in modo da compensare le variazioni del rendimento del reticolo in funzione della polarizzazione della luce incidente, la luce che giunge al reticolo secondo il percorso (3) viene quindi diffratta lungo il percorso (4) da cui viene poi immessa in una fibra che funge da apertura ed alla altra estremità è accoppiata al fotorivelatore. Questa architettura riunisce i pregi delle due architetture precedenti infatti la sensibilità rimane quella della OSA con monocromatore ad 1 passaggio mentre la selettività è quella della OSA con due monocromatori, soltanto il costo si posiziona in una fascia intermedia.

Applicazioni tipiche della analizzatore di spettro ottico

Vengono di seguito esposte alcune applicazioni tipiche della OSA con particolare riferimento alla famiglia di prodotti 7xxxx della HP alla quale appartiene lo strumento da noi utilizzato per la misura dello spettro del laser He-Ne.

 

Stymulus response testing

Una sorgente di luce bianca con lunghezza d´onda compresa tra 900nm e 1600nm viene inviata in ingresso al dispositivo da testare, ad esempio un accoppiatore, un isolatore, una fibra o un filtro ottico. Il segnale (ottico o elettrico) che si ha in uscita dal dispositivo viene inviato all´OSA che ne mostra la risposta in funzione della lunghezza d´onda.

Swept polarization dependent loss testing

In questa misura la luce applicata al dispositivo da testare viene ottenuta inviando lo spettro di luce bianca al monocromatore alla cui uscita si effettua una polarizzazione controllata.

Se l´uscita del dispositivo è un segnale ottico questo viene applicato al fotorivelatore altrimenti se è un segnale elettrico viene inviato direttamente all´ingresso della amplificatore di transimpedenza.

Per ogni lunghezza d´onda analizzata si effettua sul polarizzatore la massima escursione e si determina il valore massimo ed il valore minimo della uscita, si ottengono in tal modo due curve la cui differenza è la PDL picco a picco del dispositivo.

Descrizione della esperimento

Al fine di rilevare lo spettro di emissione del laser He-Ne lo abbiamo accoppiato otticamente con la testa di una fibra ottica monomodale connessa alla analizzatore di spettro ottico.

La misura è stata ripetuta due volte, impostando lo strumento di misura per un'acquisizione automatica dei dati, infatti durante la prima misura l'analizzatore non è riuscito a rilevare alcun segnale dato che la fibra usata per accoppiare il raggio laser aveva all'ingresso una lente progettata per accettare raggi divergenti mentre nel caso specifico il laser era di tipo a gas il cui raggio uscente è ben collimato. Questo fattore insieme ad un accoppiamento di scarsa qualità ha causato perdite di potenza tali da non permettere la misura dello spettro. Ciò che si osservava sul display dello strumento era una sorgente rumorosa con una densità spettrale di potenza essenzialmente costante affetta naturalmente da variazioni aleatorie nel tempo.

Dopo aver provato ad esplorare manualmente una porzione di spettro, abbiamo deciso di sostituire la sonda che andava al monocromatore con una che aveva all'entrata una lente in grado di accettare raggi già collimati.

Questa volta l'esito è stato decisamente più soddisfacente e per migliorare l'accoppiamento della fibra con il laser ne abbiamo modificato la posizione relativa agendo sul supporto che teneva la sonda.

C'è da osservare il fatto che l'accoppiamento sia molto più sensibile a variazioni angolari

(df , dq) piuttosto che a variazioni traslazionali (dx, dy) come indicato nel disegno.

Sfruttando questo fatto siamo riusciti ad ottimizzare la potenza accoppiata, ottenendo il seguente spettro che è poi stato acquisito da un computer.

Il grafico si estende per 1nm e lo spettro ha un picco a –43dB alla lunghezza d'onda di 633nm, ciò significa che della potenza iniziale di 1mW soltanto 0.05mW sono stati rivelati.

Ai lati del picco si possono osservare delle code frastagliate di natura rumorosa dalle quali si evince che il picco si trova circa 30dB sopra la soglia di rumore, un valore questo sufficientemente alto da dare rilevanza alla misura effettuata.

Ma cos'è effettivamente quel picco che appare nel grafico?

Se fosse l'unico modo longitudinale del laser questo sarebbe largo circa 0.211nm.

Facciamo quindi alcuni calcoli per vedere quanto distanziati siano i modi in un laser.

Dalla relazione sulla cavità (L rappresenta la lunghezza del laser),

si ottiene lo spaziamento in frequenza tra un modo e il successivo,

per ottenere lo spaziamento in lunghezza d'onda dobbiamo derivare la relazione l=c/n da cui:

Dalla precedente relazione la distanza risulta essere di alcuni centesimi di Angstrom; ciò significa che in 0.211nm ci sono ben 160 modi!!!

Abbiamo dedotto quindi che ciò che sembra un picco in realtà è l'inviluppo dei modi emessi, i quali essendo troppo vicini risultano invisibili allo strumento che non riesce ad arrivare a risoluzioni così spinte. Per distinguere i singoli modi avremmo dovuto utilizzare un altro analizzatore di spettro, di tipo analogico avente al suo interno una cavità Fabry-Perot, ma questo non era a disposizione nel laboratorio.

Nonostante il nostro laser fosse del tipo a gas He-Ne, per effettuare la misura automatica abbiamo dovuto indicare un laser DFB, che ha un solo modo longitudinale ottenuto sfruttando l'effetto di diffrazione alla Bragg in un reticolo; la larghezza di tale modo è nell'ordine di 0.lnm.

Durante la misurazione è stato rilevato un secondo picco a 1266nm. Inizialmente abbiamo creduto si trattasse di un'armonica, ma ragionando sul funzionamento di un laser a gas che sfrutta transizioni tra livelli atomici, e che quindi è un dispositivo lineare abbiamo attribuito tale non linearità all'analizzatore di spettro.